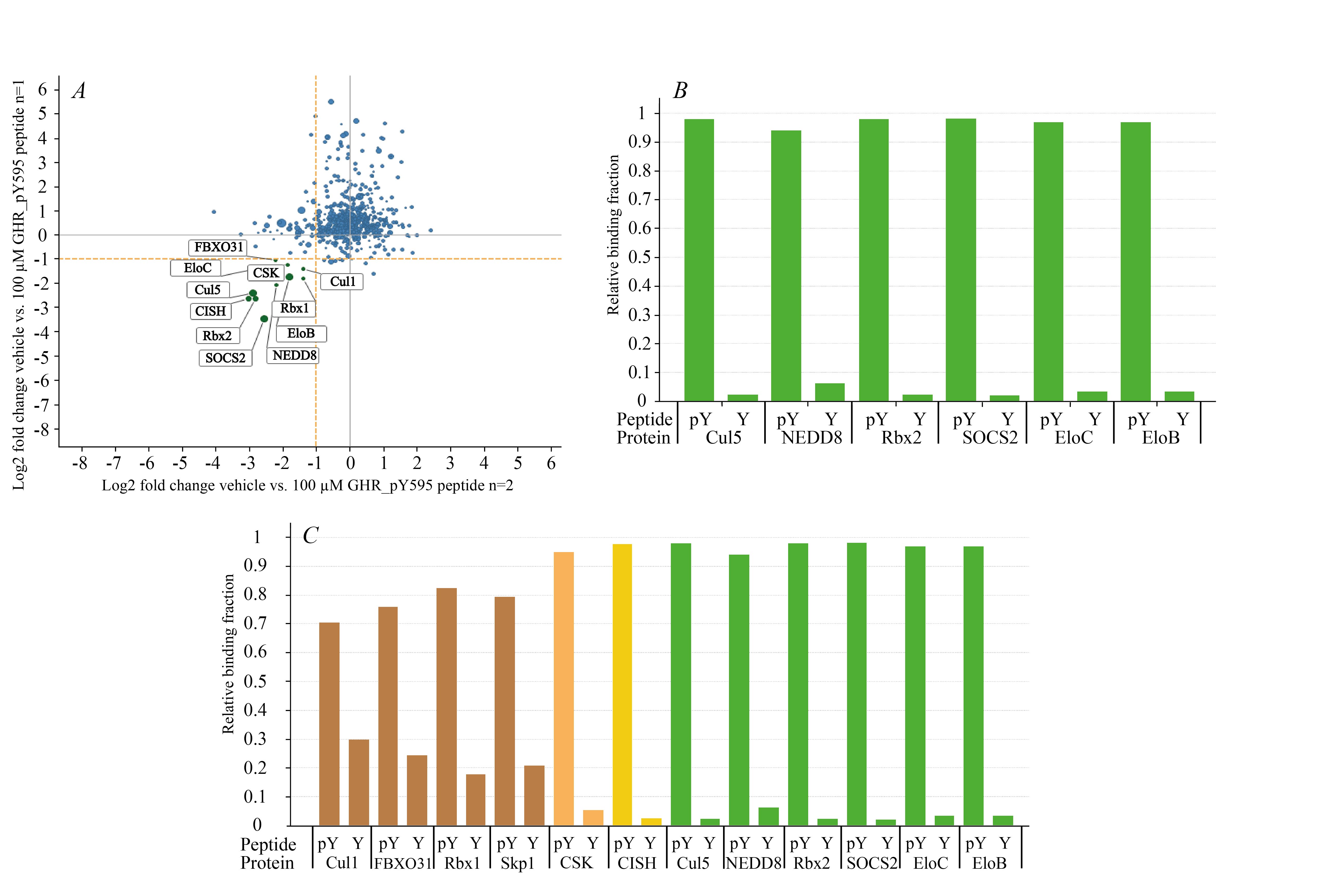
Our paper on biophysical investigation of interactions and assembly of full-size SOCS2:EloBC:Cul5:Rbx2 E3 ubiquitin ligase is now published in J. Biol. Chem.
Read our Just In Press article.
Our paper on biophysical investigation of interactions and assembly of full-size SOCS2:EloBC:Cul5:Rbx2 E3 ubiquitin ligase is now published in J. Biol. Chem.
Read our Just In Press article.