Our new paper on triazolo-benzodiazepine chemistry to I-BET/JQ1 analogues for the bump-and-hole approach and BD2-selectivity is now published in J. Med. Chem.
You can read our open access Article ASAP.
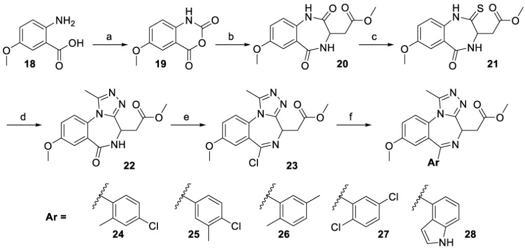
Obtain our compound “TC AC 28” (6-(1H-Indol-4-yl)-8-methoxy-1-methyl-4H-[1,2,4]triazolo[4,3-a][1,4]benzodiazepine-4-acetic acid methyl ester) from the Tocris catalogue.








