Post by Mike Rivington and Mohamed Jabloun, The James Hutton Institute
Climate change in Scotland will alter the spatial and temporal distribution of rainfall, whilst warming temperatures will result in more water evaporated from crops and soil. These changes will impact crop yields with consequences on the food and drinks sectors. Research at the James Hutton Institute has undertaken a spatial assessment of what the impacts of climate change might be on barley yields, as well as broader aspects of changes in climatic conditions affecting land use and Natural Capital.
How has Scotland’s climate changed?
The effects of climate change are already here: Scotland’s climate has experienced substantial change since the 1960-1989 baseline period. This and the likelihood of future change has serious consequences for Scotland’s Agriculture, Natural Capital, society and our economy through changes in ecological processes. We have already experienced some changes in the climate that are comparable in magnitude to those projected for the future (2020 and 2049, and in the case of January and November precipitation, the 2050-2079 period) by climate models. Observed changes and future projections include:
• November, December and January’s mean monthly precipitation totals have already increased since the 1960-1989 baseline period to amounts greater than those projected for the 2020-2049 period.
• February observed temperatures have already increased to be at the lower end of the 12 climate projections (high emissions scenario) for the 2020-2049 period.

February has experienced the largest increase in mean monthly rainfall, whilst the largest decrease has been in September. The eastern arable crop areas have experienced rainfall decreases in the key months of March and May.
How might Scotland’s climate change in the future?
Analysis shows that August, September and autumn are likely to become warmer and drier in the future. Spring shows large spatial and temporal variation, with risks of drought impacting crops and nature. Winters are likely to get warmer and wetter, particularly in the west, resulting in higher risks of flooding. Storms may be more intense with higher amounts of heavy rainfall. Lower precipitation and higher rates of evapotranspiration associated with higher temperatures are likely to reduce water availability, impacting ecological processes and agricultural production.
Climate extremes have already changed and are projected to increase: longer summer dry periods; heavier rain in winter. Snow cover has declined and is likely to reduce further as temperatures warm, but there may still be some winters with high snowfall, but staying for less time on the ground.
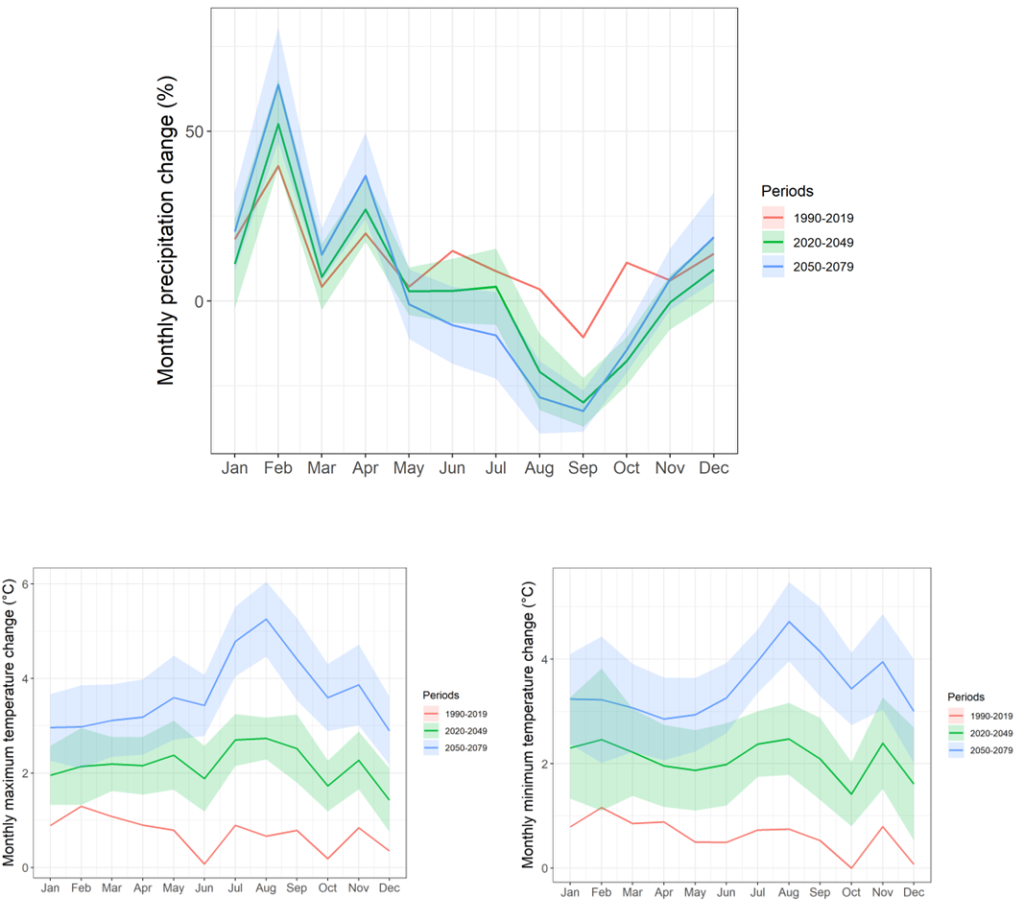
Precipitation (mm)

The figures above illustrate, for the whole of Scotland, how precipitation and temperature have changed compared to the 1960-1989 baseline (0 on the y axis), and how they are projected to change for two time periods in the future (solid green and blue lines = mean of 12 projections, shaded areas are the range of the 12 projections).
What does this mean in terms of water availability?
Using 12 projections from a Regional Climate Model, a Climatic Water Balance indicator was estimated. This indicator is estimated by calculating the difference between precipitation in and evapotranspiration out (daily, at a 1km spatial resolution) and indicates where there may be a shift from water surplus to a deficit.

During the winter there is likely to be plenty of surplus water available, however, in the spring and summer in the east of Scotland, there is an increasing risk of less water available to crops from our soils. This is because there may be less rainfall but higher rates of evapotranspiration (evaporation from plants and soils).
What does this mean for barley yields?
There is likely to be increased annual yield variability, with potentially some good years for arable agriculture, but also more years when crops become water stressed at key stages in their growth.
Climate change is likely to have both positive and negative impacts on barley growth and annual yields, with some years potentially experiencing good yields when conditions are favourable but with an overall decrease in yields by the 2040s, which continues to worsen by the 2070s. Under the twelve climate projections used (which leads to temperature increases ranging from 1 to 3.5°C and 7% increase to 14% decrease in growing season precipitation), barley yields are likely to decrease in many parts of Scotland. This will likely be due to additional water stress, especially if water is limited in the spring to early summer periods.
Future higher temperatures and potentially reduced precipitation are likely to lead to an increased water deficit, where evapotranspiration loss of water to the atmosphere is greater than the precipitation input to soils.
There is good agreement between the climate projections as to where these changes in yield may occur. The spatial extent and temporal frequency of yield decreases is likely to cause substantial challenges to the barley supply chain and end users. Earlier sowing appears to be a viable adaptation option.

This figure shows the spatial distribution of the level of agreement between climate projections in the barley yield change over the period 2030-2049 as compared to the baseline period 1994-2015, where Yellow = variable probability of change; Blue = yield increases; Red = yield decreases. This distribution of where decreases are likely aligns with where soils with lower water capacity are. Areas with better soil water holding capacity appear to be more resilient and could potentially experience increases in yield when favourable climatic conditions permit.
Implications of climate change on Natural Capital
Climate change impacts will vary across different types of Natural Capital and ecosystem service flows. Likely impacts include:
· Increased water stress for multiple species and habitats, affecting ecosystem function and the provision of ecosystem services. Reduced water flow in streams, and higher soil and water temperatures.
· Increased species competition for water and nutrients, favouring those with broader tolerance ranges (i.e., pioneer and invasive species), risking species loss, habitat alteration and changes in ecological processes.
· Mismatches in the growth and development of species that rely on one another (e.g., pollinators and plant species) due to different responses to changed seasonal weather patterns.
· Mixed range of impacts for Peatlands: longer growing seasons may increase primary production and increase access and working conditions (i.e., if less snow cover) which would benefit restoration efforts (re-wetting). Reduced water in the summer and autumn will increase respiration. If a severe drought period, some decrease in primary production and risks of drying of exposed soils. Multiple drought years threaten poor recovery.
· Drier and more flammable vegetation and peatland soils increases fire danger, requiring investment in ignition prevention and mitigation measures including habitat management and increasing public awareness of risks.
· Changes to crop yields: potential increases when favourable weather conditions (adequate spring precipitation), but overall reductions, especially where soils have lower water holding capacity and / or on degraded topsoil (e.g., due to erosion, compaction) with low carbon and hence low water retention.
· Flooding events increase the risk of spreading invasive species, increased erosion and concentrated diffuse pollution flushes. Reduced snow cover will impact water flow rates, whilst warmer air temperatures and altered albedo (darker surfaces) will increase water temperature impacting river ecology, e.g., spawning fish populations.
What does this mean for us?
Scotland, like the rest of the world, will face substantial challenges to mitigate the causes of the climate and biodiversity crises risks, and adapting to impacts. However, approaches such as Nature Based Solutions and equitable burden sharing to these challenges are also rooted in social justice aims, to ensure we have sustainable economies and environments. Through our research we are better informed about the risks and opportunities, and so better placed to make sure we leave no-one behind.
Further information about the research is available here:
Climate trends and future projections: Climate Trends and Future Projections in Scotland
Climate extremes: Climate Extremes in Scotland
Natural Capital and climate change: Climate Change Impacts on Natural Capital | The James Hutton Institute
Barley and climate change: Barley Responses to Climate Change
Assessing climate change impacts on snow cover in the Cairngorms National Park.

